湛江市徐闻县农业农村局
我的收藏
收藏
政府信息公开
搜索位置
标题
全文
排序方式
按时间
按相关度
规章
下载文字版
下载图片版
索引号:
11440825007119063X/2025-00048
分类:
发布机构:
湛江市徐闻县农业农村局
成文日期:
2025-08-01
名称:
徐闻县农业机械牌证注销的公告
文号:
发布日期:
2025-08-01
主题词:
文件状态:
现行有效
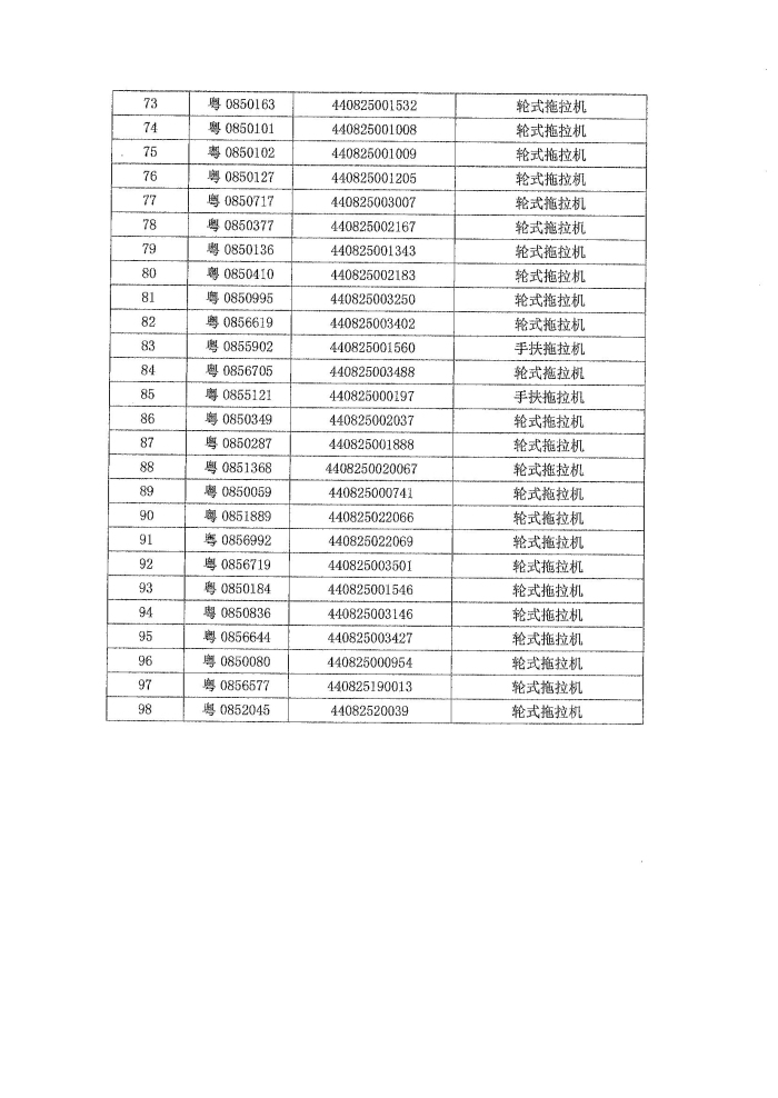
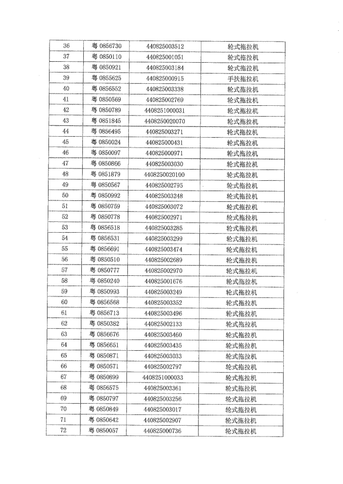
徐闻县农业机械牌证注销的公告
发布日期:2025-08-01 浏览次数:
-